摘要
抗体-寡核苷酸偶联物(Antibody-Oligonucleotide Conjugate, AOC)属于一类嵌合分子,其结构结合了两种药物生物分子,包括单克隆抗体和寡核苷酸。近年来,随着抗体药物偶联物(ADC)药物在市场上的成功,药企对AOC的研发兴趣日益浓厚。
AOC 代表了一类新兴的功能化抗体,它将抗体的特异性结合能力与寡核苷酸的广泛结构和功能特性相结合,充分整合了抗体和寡核苷酸各自的优势。本报告对AOC领域研究进展进行梳理从大家关心的AOC的分子结构、作用机制、Linker的设计、竞争格局、临床进展做一个系统的梳理。
一、AOC的分子结构与作用机制
1.1 三联体结构
AOC的核心结构由三个关键部分组成:一个负责靶向的抗体Antibody、一个负责发挥治疗作用的寡核苷酸有效载荷,以及一个连接二者的Linker。这三个部分的协同作用,使得AOC能够像精确制导的导弹一样,将基因调节药物精准地递送到病变细胞中。

-
靶向部分:单克隆抗体(mAbs)及其片段(Fabs)
抗体是AOC的“导航系统”,赋予其组织和细胞类型的特异性。抗体的选择对AOC的药代动力学和组织穿透能力至关重要。全长单克隆抗体(mAbs)具有较长的血清半衰期,这有助于延长药物的作用时间。而较小的抗体片段,如抗原结合片段(Fab),可能具有更好的组织穿透能力,尤其是在实体瘤等致密组织中。
靶点受体的选择是AOC设计的重中之重。在神经肌肉疾病领域,转铁蛋白受体1(Transferrin Receptor 1, TfR1)已成为关键的、经过验证的靶点,因为它在肌肉细胞上高度表达。通过靶向TfR1,AOC能够被肌肉细胞高效摄取,从而实现对肌肉组织的靶向递送。
-
有效载荷:多样化的治疗性寡核苷酸工具箱
寡核苷酸是AOC的“弹头”,是调节基因表达的活性成分。临床开发中使用的主要寡核苷酸载荷包括以下几种,它们各自通过不同的机制发挥作用:
小干扰RNA (siRNA): 这是一种双链RNA分子,利用细胞内天然的RNA干扰(RNA interference, RNAi)通路。siRNA被加载到RNA诱导沉默复合物(RNA-Induced Silencing Complex, RISC)中,其反义链会引导复合物中的Ago2蛋白特异性地切割并降解目标信使RNA(mRNA)。这一过程是催化性的,意味着少数siRNA分子可以降解大量的mRNA转录本,从而实现强效且持久的基因沉默效果。
反义寡核苷酸 (ASO): 这是一种单链DNA或RNA分子,通过沃森-克里克碱基配对原则与目标mRNA结合。ASO的作用机制多样,包括:招募细胞内的核糖核酸酶H(RNase H)来降解目标mRNA;通过空间位阻(steric hindrance)直接阻断核糖体的翻译过程;或调节前体mRNA(pre-mRNA)的剪接,以纠正导致疾病的遗传缺陷。
磷酰二胺吗啉代寡聚物 (PMO): 这是一种特殊类型的ASO,其骨架为电中性,因此具有极高的稳定性,能抵抗酶的降解。PMO主要作为空间位阻剂来调节剪接过程。其最著名的应用是在杜氏肌营养不良症(Duchenne muscular dystrophy, DMD)的治疗中,通过诱导外显子跳跃(exon skipping)来恢复抗肌萎缩蛋白(dystrophin)基因的阅读框,从而产生一种截短但仍具有功能的蛋白质。
CpG寡核苷酸(TLR9激动剂):由Tallac公司独家应用于其肿瘤免疫管线中。这是一种完全不同的应用策略。CpG寡核苷酸是含有非甲基化CpG基序的短DNA序列,它们是Toll样受体9(TLR9)的强效激动剂。TLR9主要在B细胞和浆细胞样树突状细胞等免疫细胞的内体中表达。当CpG寡核苷酸被递送至这些细胞并与TLR9结合后,能够触发强大的先天性和适应性免疫应答,从而产生抗肿瘤效应。
-
关键枢纽:Linker 化学与有效载荷的释放
Linker是连接抗体和寡核苷酸的桥梁,其设计对于AOC在血液循环中的稳定性以及在靶细胞内有效释放载荷至关重要。Linker的选择是一项战略性决策,主要分为两类:
可裂解Linker: 这类接头能响应细胞内的特定环境,如酸性pH值、还原性环境或特定酶的活性,从而断裂并释放寡核苷酸载荷。
不可裂解Linker: 这类接头非常稳定,需要整个AOC分子在溶酶体内被蛋白酶降解后,才能将寡核苷酸释放出来。
Linker的选择会影响药物的释放动力学、旁观者效应以及整体的治疗窗口。
1.2 AOC作用机理

【The mechanism of antibody-siRNA conjugates】
步骤一:受体介导的靶向与内化
与ADC类似,AOC在血液循环中,其抗体部分会特异性地识别并结合靶细胞表面的抗原,例如肌肉细胞上的TfR1受体。这种结合会触发受体介导的内吞作用,细胞膜会向内凹陷,将整个AOC-受体复合物包裹起来,形成一个名为内涵体的细胞内囊泡。
步骤二:关键障碍——内涵体运输与逃逸的必要性
这是所有寡核苷酸疗法面临的最大、也是最核心的挑战。一旦进入内涵体,AOC就会被卷入细胞的内吞-溶酶体途径(endo-lysosomal pathway)。绝大多数(约99%)的寡核苷酸载荷会被困在内涵体中,并最终在溶酶体内被降解,无法到达其作用靶点。只有极小部分(约1-2%)的载荷能够成功地从内涵体中“逃逸”到细胞质中,发挥其治疗作用。这种极低的逃逸效率是限制AOC疗效的决定性步骤。
目前,关于这种自发逃逸的具体机制尚不完全清楚,主流假说包括内涵体膜上出现短暂的、纳米级的孔道,或在内涵体与其他囊泡融合过程中产生暂时的膜破裂。然而,这一过程在很大程度上仍是一个“黑匣子”。这种巨大的效率损失是AOC开发中必须面对的核心难题,它决定了AOC设计的每一个方面——从选择高亲和力的抗体以最大化细胞摄取,到使用高效价的寡核苷酸以确保逃逸的少量分子仍能产生足够的疗效。内涵体在某种程度上也充当了一个药物的“缓释库”,缓慢释放的寡核苷酸有助于延长药物的单次给药作用时间。
步骤三:有效载荷在细胞质和细胞核中的作用
成功逃逸到细胞质后,寡核苷酸载荷便可以寻找并结合其目标RNA。siRNA在细胞质中与RISC复合体结合,介导mRNA的降解。ASO既可以在细胞质中发挥作用(如招募RNase H),也可以进一步转运至细胞核内。在细胞核中,ASO和PMO可以与前体mRNA结合,调节其剪接过程,这对于治疗由剪接缺陷引起的疾病至关重要。
寡核苷酸载荷的多样性使得AOC技术平台具有极高的灵活性。开发者可以根据不同疾病的根本遗传机制来选择最合适的“弹头”。例如,对于需要下调有毒RNA的疾病(如强直性营养不良1型),可以选择siRNA或ASO进行基因敲降。而对于需要修复错误剪接的疾病(如DMD),则可以选择PMO或剪接调节型ASO来恢复蛋白质的正确生产。这种“量体裁衣”式的策略选择,凸显了该平台的多功能性,同时也要求对每种疾病的生物学机制有深刻的理解。
二、AOC的工程化:核心平台技术与偶联工艺
2.1 生物偶联策略
AOC平台技术核心在于高效、可控地将寡核苷酸偶联至抗体,同时保证偶联产物的均一性和生物活性。常见偶联策略见下图,包括:A)离子相互作用(利用带正电的载体与寡核苷酸磷酸骨架相吸附)、B)亲和偶联(如链霉亲和素–生物素体系)、C)直接共价偶联(在抗体引入可反应化学基团,如硫醇或胺基,然后通过硫醇–马来酰亚胺等化学连接子交联)和 D)链杂交偶联(将一条寡核苷酸与抗体共价偶联,另一条寡核苷酸与其互补配对形成双链结构)。

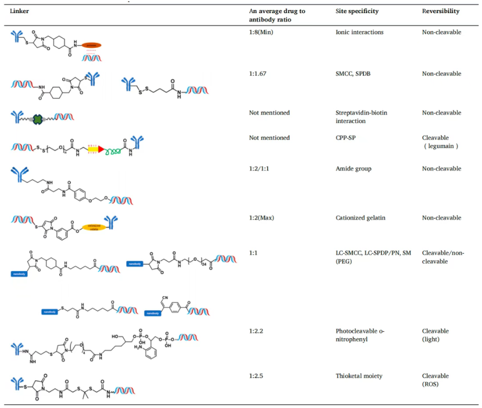
2.2 AOC Linker的设计
按照Linker的功能特点,可以分为非共价Linker和共价Linker,其常见类型总结如下:
非共价Linker(Noncovalent Linkers):
-
离子相互作用 (Ionic Interactions):主要利用带正电荷的分子(如鱼精蛋白 Protamine)与带负电荷的寡核苷酸之间的静电吸引力形成复合物。这种方式有助于促进核酸的内涵体逃逸 ,并且理论上可以递送多种不同的siRNA以实现个性化治疗。然而,它可能产生组成不明确的异质性聚集体。
-
链霉亲和素-生物素相互作用 (Streptavidin-biotin Interaction):利用生物素和链霉亲和素之间极强的非共价亲和力来连接抗体和寡核苷酸。
共价Linker (Covalent Linkers)
-
酶裂解Linker (Enzyme-cleavable):包含可被特定酶(如肿瘤微环境中的酶)切割的肽序列。当AOC到达肿瘤部位后,Linker被酶切断,释放寡核苷酸。
-
光裂解Linker (Photocleavable):包含对特定波长的光敏感的化学基团。通过光照可以精确控制寡核苷酸的释放时间和位置。
-
活性氧裂解Linker (ROS-cleavable):这类Linker在高水平活性氧(ROS)的环境中不稳定,会被裂解,从而实现靶向释放。

三、竞争格局
AOC技术领域的主要玩家集中在美国和欧美创新企业,头部企业包括:Avidity Biosciences的AOCTM平台已形成较完整管线;Dyne Therapeutics开发的FORCE™平台也覆盖多款罕见肌肉病;Tallac Therapeutics以其Toll样受体激活偶联(TRAAC)平台发力肿瘤免疫;Gennao Bio(原Benitec)开发无病毒细胞穿透抗体平台,主打无连接子AOC(GMAB技术)。
在全球格局中,中国公司尚处于追赶阶段。迦进生物(ChainGen)是国内首批聚焦AOC的企业,目前管线处于临床前或IND准备阶段。有报道恒瑞医药、启德医药等中国公司也正在布局。
AOC全球管线梳理如下表。

四、AOC未来展望
4.1 拓展治疗领域:超越神经肌肉疾病
随着AOC技术在神经肌肉疾病领域得到验证,其应用正迅速向更广泛的治疗领域扩展。
-
精准心脏病学: 这是AOC技术下一个重要的前沿领域。遗传性心脏病通常由单一基因缺陷引起,非常适合基因沉默疗法。Avidity已经战略性地将其管线扩展至此,其候选药物AOC-1086和AOC-1072分别靶向导致PLN心肌病和PRKAG2综合征的致病基因。这标志着AOC平台从治疗罕见肌肉疾病向治疗更广泛的遗传性疾病迈出了关键一步。
-
免疫学与肿瘤学: 将寡核苷酸精准递送到特定的免疫细胞,有望为自身免疫性疾病和癌症的治疗带来革命性变化。通过沉默免疫细胞中的关键炎症或抑制性基因,可以重塑免疫反应。
-
中枢神经系统 (CNS): 穿越血脑屏障是将药物递送到大脑的主要障碍。然而,利用TfR1等在血脑屏障上表达的受体,为AOC进入CNS提供了潜在途径。Dyne和Denali等公司正在积极开发旨在实现CNS递送的平台,这有望为治疗亨廷顿病、阿尔茨海默病等神经退行性疾病开辟新的道路。
4.2 需要克服的挑战
-
解决内涵体逃逸问题:目前约1-2%的逃逸效率虽然在某些疾病中已足够,但若能显著提高,将极大地增强药物的效力,可能意味着更低的给药剂量、更长的给药间隔以及更宽的治疗窗口。下一代AOC的设计可能会整合能够主动促进内涵体逃逸的化学基团(如pH敏感聚合物或膜融合肽),这将是该领域未来的一个重要研究方向。
-
生产与规模化:随着AOC药物进入后期临床并迈向商业化,建立稳定、可规模化且成本可控的生产工艺将至关重要。
-
管理免疫原性:任何大分子生物药在长期重复给药后,都存在引发机体免疫反应的风险。AOC作为一种复杂的生物大分子,其抗体部分和寡核苷酸部分都可能具有免疫原性。通过对抗体进行“人源化”改造、对寡核苷酸进行化学修饰(如2'-O-甲基修饰)等方式可以降低这种风险,但仍需在长期临床应用中进行密切监测。
总之,AOC技术正处在一个激动人心的转折点。它已经通过令人信服的临床数据证明了其在攻克肝外靶向递送这一长期难题上的突破性能力。尽管前方仍有挑战,但AOC所展现出的巨大治疗潜力,预示着一个精准基因药物新时代的到来。
Reference
[1] Overcoming limitations and advancing the therapeutic potential of antibody-oligonucleotide conjugates (AOCs): Current status and future perspectives. Pharmacological Research, Volume 209, November 2024, 107469.
[2] 【Web】https://www.aviditybiosciences.com/
[3] 【Web】https://www.dyne-tx.com/
[4] 【Web】The Path to Approval for AOCs: Regulatory Success Hinges on Understanding and Overcoming Chemistry And Technical Challenges.
[5] Antibody-oligonucleotide conjugates: a twist to antibody-drug conjugates. Journal of Clinical Medicine, 10.4 (2021): 838.